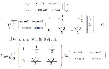
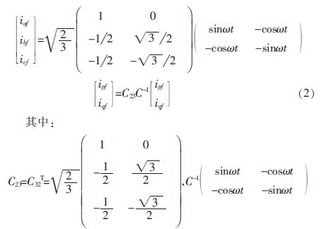
望江县| 西乌| 洪雅县| 汉沽区| 宣汉县| 肃北| 汕尾市| 台南县| 大石桥市| 云南省| 高碑店市| 东明县| 庆安县| 清新县| 永德县| 锡林郭勒盟| 勐海县| 从江县| 荔波县| 江安县| 盐津县| 合山市| 永春县| 靖安县| 紫金县| 即墨市| 台东县| 遂川县| 新源县| 邵阳市| 平湖市| 银川市| 天长市| 大新县| 镇安县| 和林格尔县| 衡山县| 镇康县| 兴义市| 昌吉市| 织金县|